철학과 학생의 개발자 도전기
B 트리와 B+ 트리 본문
M원 검색트리(M-way Search Tree)
특징
- 차수를 2에서 m으로 확장해 이진탐색트리의 높이 문제를 해결한 자료구조
- 각 노드는 m-1개의 레코드와 m개의 서브트리를 가질 수 있다.
- 각 노드의 레코드들은 정렬되어 있다.

B 트리
특징
- 높이 문제를 개선한 M원 검색트리에서 균형 문제도 해결한 자료구조
- 데이터의 삽입, 삭제 시 균형을 맞추는 알고리즘을 수행한다.
규칙
- 모든 단말 노드는 같은 레벨에 있다.
- 노드는 최대 개, 최소 ⌈M/2⌉개의 자식을 가진다.
- 노드는 최대 개, 최소 개의 키를 가진다.
- 노드의 키가 X개면, 자식의 수는 X+1개다.

시간 복잡도
- 원소 삽입, 삭제, 탐색: O(logN)
Key 삽입 과정
- 요소를 삽입할 단말 노드를 선택 후 Key 삽입
- Key의 최대개수를 초과할 경우, 분할 실행
- 중앙값을 부모노드에 병합하고 왼쪽 키는 왼쪽 자식, 오른쪽 키는 오른쪽 자식으로 연결
- 부모노드를 검사하여 Key의 최대개수를 초과하지 않을 때까지 반복
Key 삭제 과정
1. 단말 노드에서 Key 삭제
- 요소를 삭제할 노드를 선택 후 Key 삭제
- Key의 최소개수 미만이 될 경우, 부모 Key로 대체
- 부모 Key는 왼쪽 형제의 가장 큰 Key 혹은 오른쪽 형제의 가장 큰 Key로 대체
- 왼쪽과 오른쪽 형제 Key가 모두 최소개수일 경우, 노드를 삭제하고 부모 Key를 형제 노드에 병합
- 부모 Key도 최소개수라면, 재구조화 실행
2. 내부 노드에서 Key 삭제
- 삭제할 Key를 왼쪽 서브트리의 가장 큰 Key 혹은 오른쪽 서브트리의 가장 작은 Key와 교체
- 단말 노드 위치로 이동한 Key 삭제 (단말 노드 삭제 과정 진행)
- 삭제할 노드와 교체할 노드의 Key가 모두 최소개수일 경우, 재구조화 실행
3. 재구조화
- Key를 삭제하고 양쪽 자식 노드를 병합한다.
- 부모 Key를 형제 노드에 병합하고, 병합한 자식 노드를 왼쪽 자식으로 가져온다.
- Key의 최대개수를 초과할 경우, 분할 실행 (Key 삽입 과정 진행)
참고
[자료구조] 그림으로 알아보는 B-Tree
B트리는 이진트리에서 발전되어 모든 리프노드들이 같은 레벨을 가질 수 있도록 자동으로 벨런스를 맞추는 트리입니다.
velog.io
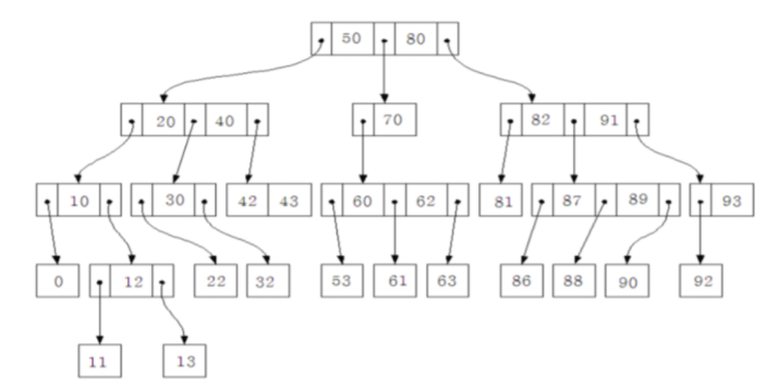
B+ 트리
특징
- 삽입, 삭제 연산이 단말 노드에서만 발생한다.
- 단말 노드들은 연결리스트로 연결되어 선형 탐색에 유리하다.
Key 삽입 과정
- 분할 과정이 B 트리와 다르다.
- 분할할 때 부모로 올린 중앙값을 단말 노드에 남겨둔다.
Key 삭제 과정
- 내부 노드의 Key를 삭제해도 단말 노드의 Key를 함께 삭제한다.
- 단말 노드 Key 삭제 후, 내부 노드 Key를 오른쪽 자식의 가장 작은 Key로 교체
참고
[자료구조] 그림으로 알아보는 B+Tree
정렬된 순서를 보장하고, 멀티레벨 인덱싱을 통한 빠른 검색과 선형탐색까지 가능한 실전형 자료구조 B+ 트리입니다.
velog.io